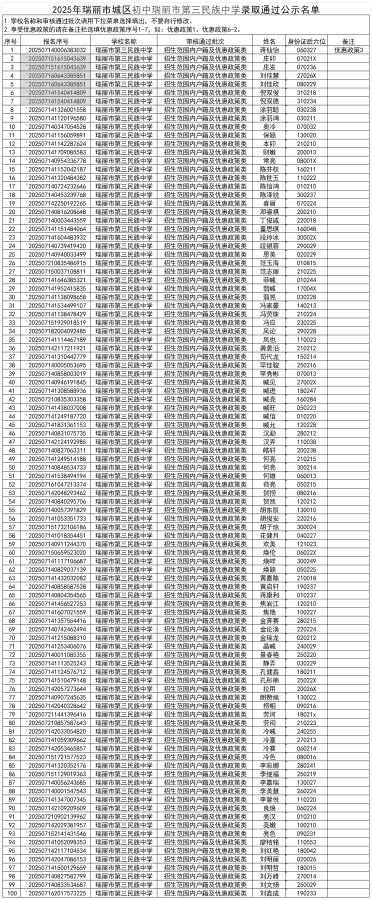
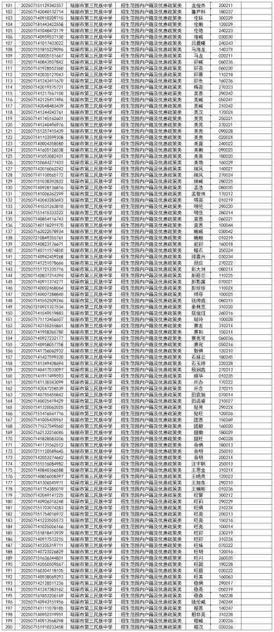
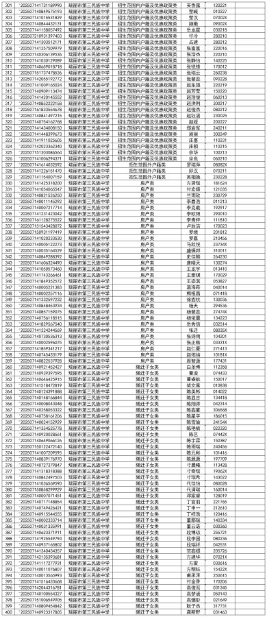
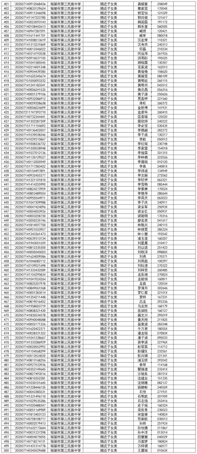
瑞丽市第三民族中学录取605人,其中1-7优惠类1人,第一批次325人,第二批次3人,第三批次30人,第四批次246人。目前空余学位95个,欢迎家长们二次网络报名时选择瑞丽市第三民族中学,二次网络报名时间2025年7月26日18:00至27日10:00。
附:2025年瑞丽市第三民族中学录取通过公示名单





附:2025年瑞丽市第三民族中学录取通过公示名单





主办单位:瑞丽市人民政府办公室 运行维护:瑞丽市电子政务股
滇ICP备13000534号-1
滇公网安备 53310002000503号
政府网站标识码:5331020001 常见问题 地址:瑞丽市新建路2号 邮编:678600
电话: 0692-4141329 0692-4119285